1.1 Bon bord chaud
Les matériaux d'étanchéité de bord du verre isolant comprennent des bandes d'aluminium, des matériaux en acier et en acier inoxydable, des matériaux en silicium organique, etc. En raison de la conductivité thermique différente de leurs matériaux, la conduction thermique formée sur les bords du verre isolant varie également considérablement. Le tableau 1 montre la conductivité thermique des différents types de matériaux utilisés pour le verre isolant.
Tableau 1 Conductivité thermique de différents matériaux:
Science des matériaux | Conductivité thermique [W/(m * K)] |
Aluminium | 160 |
Acier | 50 |
Acier inoxydable | 17 |
Verre | 1 |
Scellant de silicium | 0.35 |
Matériau TPS (type de caoutchouc butyle) | 0.3 |
Le système d'étanchéité des bords composé de différents types de matériaux produira différents effets de conductivité thermique. Les entretoises thermoplastiques (TPS) abandonnent les bons métaux de transfert de chaleur tels que l'aluminium et l'acier inoxydable utilisés dans les entretoises en verre isolantes traditionnelles. Le coefficient de conductivité thermique linéaire du verre isolant fabriqué avec TPS est bien inférieur à celui des produits traditionnels, bloquant la dissipation thermique au bord du verre et améliorant l'effet d'économie d'énergie de la fenêtre entière.
L'image 1 montre une comparaison entre le verre isolé en aluminium à fente traditionnel et le verre isolé à entretoise thermoplastique TPS sous imagerie thermique. On peut voir sur l'image 1 qu'en raison de l'utilisation de l'aluminium et d'autres matériaux métalliques comme matériaux d'espacement dans les systèmes traditionnels d'étanchéité de bord, la conductivité thermique est élevée, ce qui facilite le passage de la chaleur à travers le verre isolé de la zone d'étanchéité des bords, ce qui entraîne des températures plus basses sur les bords.
Image 1
Avec l'amélioration de la qualité de vie des gens, la demande de milieu de vie confortable augmente également. L'effet de bord chaud apporté par le système d'étanchéité à barrière thermoplastique (TPS) est propice à la stabilisation de la température intérieure, à la réduction de la convection de l'air et à un environnement intérieur plus confortable. En raison de la présence du système de bord chaud, il réduit également la condensation du brouillard d'eau au bord de la vitre et réduit le coût de maintenance du cadre de la fenêtre (voir photo 2).
Image 2
1.2 Faible perméabilité à la vapeur d'eau
L'entretoise thermoplastique (TPS) adopte un caoutchouc butyle spécial mélangé à un tamis moléculaire pour le moulage par extrusion directe, et la consistance du matériau d'étanchéité est bonne. Dans le même temps, en raison de la liaison chimique étroite entre les entretoises thermoplastiques et le verre et l'adhésif de silicone, la structure de verre creux est plus stable et la liaison est plus ferme. Le tableau 2 montre la vapeur d'eau et la perméabilité aux gaz de différents matériaux d'étanchéité. On peut voir que le matériau en caoutchouc butyle a une meilleure capacité de barrière contre la vapeur d'eau et les gaz que le caoutchouc de silicone et le caoutchouc de polysulfure, formant une meilleure barrière pour empêcher la vapeur d'eau d'entrer et les fuites de gaz, ce qui favorise le maintien des performances d'étanchéité du verre isolant pendant une longue période et assure des performances d'économie d'énergie (Comme indiqué dans l'image ci-dessous 3 ).

Tableau 2 Transmission de vapeur d'eau et de gaz de différents matériaux d'étanchéité
Science des matériaux | Perméabilité aux gaz g/(m m² 24h) | Transmission de vapeur d'eau g/(m m² 24h) |
Adhésif polysulfure | 0.03-0.1 | 5-10 |
Adhésif silicone | ≥ 20 | 15-20 |
Caoutchouc butylique | 0.002-0.005 | ≤ 0.9 |
1.3 processus de production entièrement automatique
La production du verre isolant du système TPS est complétée par le système automatique à la fois du chargement du verre, du retrait du film de verre, du nettoyage et du séchage, du revêtement de bande thermoplastique, du laminage pneumatique et du revêtement de colle extérieure, en évitant les erreurs et les incohérences causées par le fonctionnement manuel, et en atteignant un degré élevé d'uniformité de cachetage d'angle, Il élimine complètement le mauvais pressage et le scellement des coins du verre isolant en aluminium traditionnel et convient à la production de verre isolant de tout type, taille et forme (comme indiqué sur la figure 7).

Figure 7 Liaison de bord du verre isolant du système d'entretoise thermoplastique (TPS)
Impact 2.1 de l'environnement de service sur le verre isolant
Comme le montre la figure 8, le verre isolant sera affecté par divers facteurs externes pendant l'utilisation

Figure 8 Facteurs d'impact environnemental lors de l'utilisation du verre isolant
En particulier, en raison des changements fréquents de température et de pression ambiantes, le gaz dans la cavité du verre isolant est toujours à l'état de dilatation thermique ou de contraction à froid, comme le montre la figure 9, ce qui rend le scellant sous contrainte à long terme. Pour le système traditionnel de double étanchéité, l'effet de cette force entraînera la déformation et la perte de la fonction du scellant, et l'humidité dans l'environnement pénétrera constamment du bord du verre isolant à la cavité médiane. Dans le même temps, l'effet des rayons ultraviolets, de l'eau et d'autres gaz corrosifs dans l'environnement accélérera le vieillissement du scellant, accélérant ainsi la vitesse de la vapeur d'eau entrant dans la cavité médiane et l'échappement de l'argon rempli. Ce genre d'infiltration de vapeur d'eau se produit à tout moment. Le déshydratant dans le système d'étanchéité des bords finira par perdre sa capacité d'adsorption de vapeur d'eau en raison de l'adsorption continue des molécules d'eau, ce qui entraînera une augmentation de la teneur en vapeur d'eau dans la cavité du verre isolant et une défaillance du joint, conduisant à un effet d'économie d'énergie plus faible. Parce que le système d'étanchéité d'entretoise thermoplastique a une certaine élasticité, il peut efficacement libérer la contrainte de bord lorsque l'environnement change. Dans le même temps, l'entretoise thermoplastique a une force de cohésion plus élevée pour résister aux changements apportés par la charge afin d'assurer la stabilité de la structure d'étanchéité.

Figure 9 Verre isolant en aluminium creux traditionnel
Et schéma des changements dans l'utilisation du système thermoplastique de bande d'espacement (TPS)
Pour les trois verres et les deux verres isolants à cavité couramment utilisés dans le verre passif de la salle du nouveau concept de bâtiment à économie d'énergie (comme le montre la figure 10), le verre des deux côtés du verre isolant sera soumis à l'action d'un autre caEt générer une plus grande contrainte, ce qui entraînera la déformation du caoutchouc butyle, réduira l'effet du premier joint, augmentera le canal de vapeur d'eau et rendra le verre isolant plus rapide, les avantages d'étanchéité des entretoises thermoplastiques seront plus évidents.

Figure 10 Trois verre et deux cavité verre isolant
Changement de scellant
2.2 facteurs affectant la durée de vie du verre isolant
Selon les exigences du Code de GB50096-2011 conception des bâtiments résidentiels, la durée de vie des bâtiments ne doit pas être inférieure à 50 ans. En tant que partie importante du bâtiment, la durée de vie du verre isolant utilisé par les portes, les fenêtres et les murs-rideaux a attiré l'attention de l'industrie. Il est mentionné à l'annexe A «Causes de défaillance et durée de vie du verre isolant» de la norme de verre isolant GB/T11944-2012 que la durée de vie prévue du verre isolant doit être d'au moins 15 ans. Cependant, à l'heure actuelle, la durée de vie globale de scellage du verre isolant en Chine est encore relativement faible, et le fabricant général n'ose pas promettre une garantie de 10 ans. Par conséquent, nous sommes encore loin des exigences standard et des exigences d'utilisation des bâtiments.
Comme mentionné ci-dessus, la durée de vie du verre isolant est directement liée à la qualité des matériaux de bord (tels que l'entretoise, le déshydratant, le scellant) et au processus de fabrication du verre isolant. La durée de vie du verre isolant est également affectée par l'état d'installation et l'environnement de service.
En 3.1, nous avons introduit l'influence de l'environnement externe sur la durée de vie du verre isolant. En plus des facteurs externes, quels autres facteurs affectent la durée de vie du verre isolant? La qualité de l'étanchéité des bords est directement liée à la durabilité de l'étanchéité du verre isolant. L'utilisation de scellant à faible vapeur d'eau et perméabilité aux gaz est la clé. De l'analyse précédente, nous pouvons voir que la bande d'espacement thermoplastique (TPS) a une très excellente capacité de barrière de vapeur d'eau et de gaz, et la durabilité d'étanchéité du verre isolant sera améliorée s'il est utilisé pour l'étanchéité des bords du verre isolant.
En prenant comme exemple le système de verre isolant à trois verres et à deux cavités, nous pouvons voir sur la figure 11 que huit interfaces de liaison ont été formées entre le mastic de verre isolant en aluminium traditionnel de cuvette et le verre ainsi que l'entretoise, tandis que seulement quatre interfaces de liaison seront formées entre la bande d'espacement thermoplastique (TPS) Le sceau et le verre. De l'analyse du niveau de production de verre isolant domestique actuel et de notre situation de test à long terme, la mauvaise adhérence du scellant, le verre et le matériau d'espacement est le chemin principal menant au passage de la vapeur d'eau et du gaz, c'est-à-dire, À la condition que la vapeur d'eau et la perméabilité aux gaz du matériau d'étanchéité soient identiques, le système thermoplastique d'étanchéité de l'entretoise réduit le canal de transmission de la vapeur d'eau et du gaz en raison de la réduction de la surface de liaison, pour atteindre la durabilité à long terme du verre isolant.

Figure 11 Analyse de l'interface d'étanchéité et de liaison de différents verres isolants
2.3 Statut de qualité actuel du verre isolant en Chine
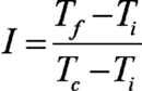
Indice de perméabilité à l'eau (I) utilisé dans la norme nationale du verre isolant) Il indique la durée de vie de scellage à la vapeur d'eau du verre isolant. Selon la norme, la valeur moyenne de I sera supérieure à 0.2; La teneur en argon après le test de durabilité est utilisée pour exprimer la durée de vie du joint au gaz.

Teneur initiale en humidité du déshydratant T i
T f Teneur en humidité finale du desiccanT
T c Teneur en humidité standard du déshydratant
Quelle est la valeur de l'indice de perméabilité à l'eau I? La valeur I fait référence au rapport entre la quantité de vapeur d'eau externe entrant dans le verre isolant et son absorption efficace dans le test de durabilité. L'indice de perméabilité à l'eau I peut refléter la capacité d'adsorption résiduelle et la durée de vie prévue du système d'étanchéité du verre isolant; Être capable d'évaluer de manière exhaustive le système de verre isolant. Plus la valeur I est petite, plus la capacité d'adsorption résiduelle du verre isolant est grande et plus la durée de vie d'étanchéité est longue.
Le Centre national de supervision et d'inspection de la qualité du verre a effectué une analyse statistique des résultats des tests de durabilité de plus de 300 joints isolants en verre à vapeur d'eau en Chine au cours des deux dernières années. La distribution de la valeur I est illustrée à la figure 12. La valeur médiane de la valeur I est proche de 15% et environ 15% de la valeur I est supérieure à 20%.

Figure 12 I statistiques de valeur du verre isolant domestique
Au début de ce siècle, l'association européenne du verre isolant UNI a effectué une analyse statistique des résultats des tests de durabilité de l'étanchéité à la vapeur d'eau des produits de verre isolant européens (comme le montre la figure 13). D'après la figure 13, on peut voir que la valeur médiane est comprise entre 4% et 5%. D'après les deux résultats statistiques, on peut voir qu'il existe encore un grand écart entre la durée de vie globale du scellement du verre isolant domestique et celle du verre isolant étranger.

Figure 13 I Statistiques de valeur du verre isolant européen UNI
Ces deux dernières années, la qualité du verre de la salle passive a également attiré beaucoup d'attention. Le tableau 3 montre les résultats des tests du Centre national de supervision et d'inspection de la qualité du verre sur la durabilité de l'étanchéité à la vapeur d'eau des trois verres et des deux verres isolants à cavité ces dernières années. Le tableau 3 montre que l'écart de qualité du verre isolant produit par différentes entreprises est relativement important et que le niveau de qualité global doit encore être amélioré. Si un tel verre est appliqué aux bâtiments passifs, il est loin de répondre aux exigences de la même durée de vie que les bâtiments. Pour résoudre ce problème, nous devrions commencer par les matériaux et les processus, et également rechercher des structures d'étanchéité plus avancées.
NON | Configuration du verre | Ti | Tf | Iav |
1 | 3 Verre 2 cavité | 0.027 | 0.0537 | 0.161 |
2 | Aspirateur IGU | 0.0418 | 0.0494 | 0.05 |
3 | 3 Verre 2 cavité | 0.0286 | 0.0492 | 0.125 |
4 | Aspirateur IGU | 0.035 | 0.0529 | 0.128 |
5 | 3 Verre 2 cavité | 0.021 | 0.0466 | 0.14 |
6 | 3 Verre 2 cavité | 0.018 | 0.0591 | 0.233 |
Le premier système de verre isolant à bande entretoise thermoplastique (TPS) est né en 1974 à Komelin. Sa production industrielle est depuis les années 1990. À l'heure actuelle, il existe plus de 100 lignes de production TPS dans le monde. Il existe également plusieurs lignes de production de verre isolant à entretoise thermoplastique TPS en service en Chine. TLa première ligne de production a été mise en production en 2011. Le verre isolant thermoplastique entretoise et le produit TPS de nouvelle génération 4SG à résistance structurelle ont été préalablement reconnus et appliqués dans les murs-rideaux structurels, les bâtiments commerciaux, les bâtiments résidentiels, les bus, les automobiles et d'autres domaines.
Depuis sa création, le système de bande d'espacement thermoplastique (TPS) a passé l'inspection et la certification des normes pertinentes dans de nombreux pays du monde, y compris le verre isolant japonais JIS R3209, la norme européenne EN1279-2 la méthode d'essai à long terme pour la perméation à la vapeur d'eau du verre isolant, Norme européenne EN1279-3 méthode d'essai à long terme pour la perméation au gaz du verre isolant Norme européenne EN1279-4 méthode d'essai pour les caractéristiques physiques du scellage de bord de verre isolant, ASTM773/774 nord-américain, NFP78-451 française/452, italien UNI10593, allemand DIN1286 et d'autres normes.
Le verre isolant de ce système d'étanchéité est également le premier système de verre isolant à trois à deux cavités en verre à passer le test de rétention de gaz de EN1279.3, avec des taux de fuite annuels d'argon de 0.4% ~ 0.5%.
Afin d'étudier et d'analyser les performances du verre isolant du système d'espacement thermoplastique et de vérifier ses avantages en termes de durabilité, le Centre national de supervision et d'inspection de la qualité du verre a sélectionné le produit Thermoplastique Spacer 4SG produit par Kemelin Company, utilisé l'adhésif structurel en silicone Dow Corning comme scellant extérieur, Et a utilisé la 100 ligne de production ultra entièrement automatique pour produire l'échantillon de verre isolant gonflable. Selon la durabilité du joint à la vapeur d'eau et la durabilité du joint au gaz dans la norme GB/T11944-2012, cinq cycles standard ont été testés respectivement.
(1) Durabilité du joint de vapeur d'eau
Le test de chaque cycle consiste en un cycle alternatif à haute et basse température et une température et une humidité constantes. Étape 1: 56 cycles, un cycle de température toutes les 12 heures, la température varie de-18 ℃ ± 2 ℃ à 53 ℃ ± 1 ℃; Étape 2: la température ambiante à 58 ℃ ± 1 ℃ et l'humidité relative supérieure à 95% est maintenue pendant 7 semaines, et chaque cycle est de 77 jours (Comme le montre la figure 14).

Figure 14 Cycle de cycle de la durabilité du joint de vapeur d'eau
Dans ce test, cinq groupes d'échantillons sont placés dans la chambre d'essai de vieillissement. Après chaque cycle, un groupe est retiré pour le test final de teneur en humidité et la valeur I est calculée. Jonction Voir le tableau 4 pour les résultats.
(2) Durabilité du joint au gaz
Tout d'abord, la teneur initiale en argon du verre isolant pour le test de durabilité est testée, et les résultats sont présentés dans le tableau 5.
Tableau 4 Résultats des tests de durabilité de 5 cycles de bande d'entretoise thermoplastique (4SG)

Tableau 5 Résultats d'essai de la teneur initiale en argon des échantillons
Échantillon Non | Teneur initiale en argon (% V/V) |
1 # | 93.7% |
2 # | 93% |
Deuxièmement, selon la méthode d'essai en GB/T11944-2012, l'échantillon a été testé pendant cinq cycles et la teneur en argon a été testée après chaque cycle. Voir le tableau 6 pour les résultats des tests.
Tableau 6 Résultats des tests de teneur en argon des échantillons après vieillissement
Cycle | Échantillon Non | Teneur finale en argon (% V/V) |
1 cycle | 1 # | Quatre-vingt-douze point huit |
2 # | Quatre-vingt-douze point deux | |
2 cycles | 1 # | Quatre-vingt-onze points neuf |
2 # | Quatre-vingt-onze points trois | |
3 cycles | 1 # | Quatre-vingt-onze point deux |
2 # | Quatre-vingt-dix points cinq | |
4 cycles | 1 # | Quatre-vingt-dix points quatre |
2 # | Quatre-vingt-neuf points sept | |
5 cycles | 1 # | Quatre-vingt-neuf points six |
2 # | Quatre-vingt-neuf |
À partir des résultats des tests, l'indice de perméabilité à l'eau et la teneur en argon du verre isolant de la bande d'espacement thermoplastique (4SG) le système peut encore répondre aux exigences de la norme nationale après cinq cycles de vieillissement. Les résultats des tests de l'indice de perméabilité à l'eau après cinq cycles sont meilleurs que les résultats des tests du cycle standard actuel des structures d'étanchéité traditionnelles en Chine, la teneur en gaz n'a diminué que d'environ 4%, Indiquant que la durée de vie du verre isolant dans ce système sera beaucoup plus longue que celle du verre isolant de structure d'étanchéité traditionnel actuel en Chine.
De l'analyse théorique aux résultats des tests, il est montré que la bande d'espacement thermoplastique (TPS) est une nouvelle génération de matériau d'étanchéité de bord de verre isolant. Ce système de verre isolant peut améliorer la durée de vie du verre isolant et améliorer l'effet de bord du verre isolant, qui devrait être vigoureusement promu. Cependant, à l'heure actuelle, le matériau thermoplastique d'étanchéité des entretoises et l'équipement de production automatique pour produire le verre isolant avec la structure d'étanchéité sont importés, et le prix est l'une des principales raisons qui limitent la vulgarisation et l'application du verre isolant thermoplastique espaceur (TPS). À l'heure actuelle, la Chine est encore au stade de la recherche et du développement d'équipement et de la recherche matérielle, et n'a pas réalisé la production industrielle. Avec l'augmentation de la compréhension des gens de la performance supérieure du verre isolant d'entretoise thermoplastique et la poursuite de l'amélioration du niveau de recherche et d'industrialisation domestique, sa perspective d'application sera de plus en plus étendue.
Référence:
[1] Institut de recherche et de conception de l'industrie du verre Qinhuangdao, verre isolant (GB/T11944-2012), China Standards Press.
[2] Dr.Chritian Scherer, Ernst Smar etc, Un nouveau système de bord chaud avec une efficacité et une durabilité supérieures, GPD Glass Performance Days 2015 。
[3] Li Jing, système innovant d'étanchéité d'espacement pour le mur rideau 4SG, discours de la conférence annuelle 2017 China Glass.
[4] Yuan Peifeng, et al., Avantages de la performance du verre isolant thermoplastique à bord chaud, Actes de 2017 conférence annuelle et séminaire technique de l'industrie du verre en Chine.